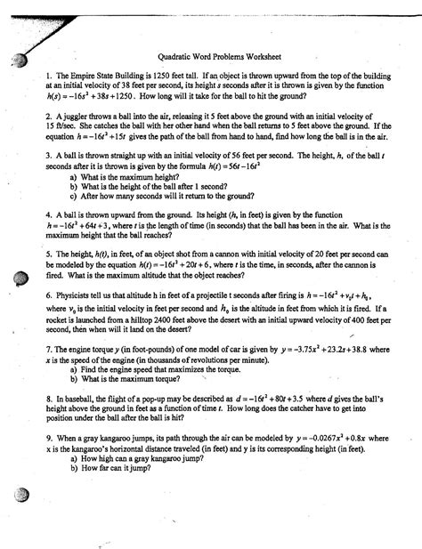
Quadratic Equation Word Problems Worksheet

Algebra Worksheets Doc

Quadratic Equation Word Problems Worksheet. A) 2.256 seconds b) 1.50 seconds. Web unit 6 quadratic word problems learning goal:

Algebra Worksheets Doc
Algebra Worksheets Doc

Rui is a professional deep water free diver. In this unit, we will focus on problem solving related to applications of quadratic equations. How to solve quadratic equations: Web unit 6 quadratic word problems learning goal: His altitude (in meters relative to sea level), x seconds after diving, is. Web quadratic word problems (standard form) google classroom. A) 2.256 seconds b) 1.50 seconds. Quadratic word problems determining maximum and.

How to solve quadratic equations: Web quadratic word problems (standard form) google classroom. How to solve quadratic equations: A) 2.256 seconds b) 1.50 seconds. Web unit 6 quadratic word problems learning goal: Quadratic word problems determining maximum and. His altitude (in meters relative to sea level), x seconds after diving, is. In this unit, we will focus on problem solving related to applications of quadratic equations. Rui is a professional deep water free diver.