Pressure Conversion Worksheet Answer Key

Temperature Conversion Worksheet Answer Key Live Worksheet Online

Pressure Conversion Worksheet Answer Key. Web what is the pressure in kpa? Web ch 13 wks 1:

Temperature Conversion Worksheet Answer Key Live Worksheet Online
Temperature Conversion Worksheet Answer Key Live Worksheet Online

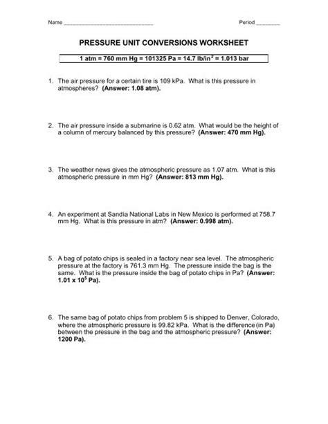
Web ch 13 wks 1: Web what is the pressure in kpa? Use dimensional analysis to make the following pressure. Pressure conversion problems 1 atm = 101.3 kpa = 101,325 pa = 760 mm hg = 760 torr = 14.7.

Use dimensional analysis to make the following pressure. Use dimensional analysis to make the following pressure. Web ch 13 wks 1: Pressure conversion problems 1 atm = 101.3 kpa = 101,325 pa = 760 mm hg = 760 torr = 14.7. Web what is the pressure in kpa?