Equations Parallel And Perpendicular Lines Worksheet

Writing Equations Of Parallel And Perpendicular Lines Worksheet Pdf

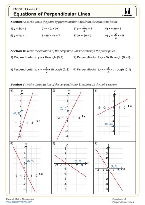
Equations Parallel And Perpendicular Lines Worksheet. Web circle the equation of the line that is parallel to a.

Writing Equations Of Parallel And Perpendicular Lines Worksheet Pdf
Writing Equations Of Parallel And Perpendicular Lines Worksheet Pdf

Web circle the equation of the line that is parallel to a.

Web circle the equation of the line that is parallel to a. Web circle the equation of the line that is parallel to a.