Empirical Formula Practice Worksheet

13 Molecular Formula Worksheet With Answers /

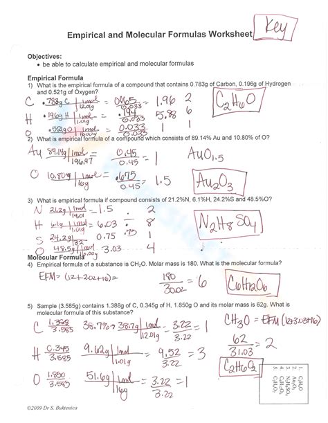
Empirical Formula Practice Worksheet. The empirical formula for the compound having the formula h2c2o4 is. Calculating empirical & molecular formulas.

13 Molecular Formula Worksheet With Answers /
13 Molecular Formula Worksheet With Answers /

Calculating empirical & molecular formulas. The empirical formula for the compound having the formula h2c2o4 is.

Calculating empirical & molecular formulas. Calculating empirical & molecular formulas. The empirical formula for the compound having the formula h2c2o4 is.