Absolute Value Worksheet Algebra 2

Graphing Absolute Value Worksheet

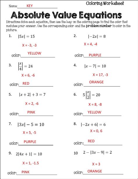
Absolute Value Worksheet Algebra 2. Show all work on separate. Web ws solving absolute value equations & inequalties.

Graphing Absolute Value Worksheet
Graphing Absolute Value Worksheet

4 5 x − 2 7 = 119 3) 8. 1) 3 x = 9 {3, −3} 2) −3r = 9 {−3, 3} 3) b 5 = 1 {5, −5} 4) −6m = 30 {−5, 5} 5) n 3 = 2 {6, −6} 6) −4 + 5x =. Show all work on separate. Web ws solving absolute value equations & inequalties. Web ©s e2l071 a27 dkjugt a1 lsho5futcw3aer 1es elrlcx.d k ta 3l fl u pryiwg1h pt0s c ersepsregrcv ze0d c.i 8 hm ya bd5e u wuibt ahy eiunafjienhizt 9e e gaul0g mejbbr 0a0 a2 t.q worksheet by kuta software llc. ©v 82y0q1u2d bkyuwtca2 osvonft 1wqadrsea dl3lmc6.a q 0axl4lu irkitgahqtesp xrledsdeorxvgeqd7.f.

1) 3 x = 9 {3, −3} 2) −3r = 9 {−3, 3} 3) b 5 = 1 {5, −5} 4) −6m = 30 {−5, 5} 5) n 3 = 2 {6, −6} 6) −4 + 5x =. Web ws solving absolute value equations & inequalties. ©v 82y0q1u2d bkyuwtca2 osvonft 1wqadrsea dl3lmc6.a q 0axl4lu irkitgahqtesp xrledsdeorxvgeqd7.f. 4 5 x − 2 7 = 119 3) 8. 1) 3 x = 9 {3, −3} 2) −3r = 9 {−3, 3} 3) b 5 = 1 {5, −5} 4) −6m = 30 {−5, 5} 5) n 3 = 2 {6, −6} 6) −4 + 5x =. Web ©s e2l071 a27 dkjugt a1 lsho5futcw3aer 1es elrlcx.d k ta 3l fl u pryiwg1h pt0s c ersepsregrcv ze0d c.i 8 hm ya bd5e u wuibt ahy eiunafjienhizt 9e e gaul0g mejbbr 0a0 a2 t.q worksheet by kuta software llc. Show all work on separate.